成果分享
揭秘单频固定外腔半导体激光器 (FECL):半导体激光器 (FECL)也可以有超低噪声
在追求极致精度与稳定性的光学世界里,光源的性能往往是整个系统的基石。无论是探测光纤中微弱的声波振动,还是实现高速相干光通信,亦或是进行高分辨气体光谱分析,单频、窄线宽、波长高度稳定的激光光源都是不可或缺的心脏。今天,就让我们一起认识一位在这个领域表现卓越的优等生;单频固定外腔半导体激光器 (Fixed External Cavity Laser Diode, FECL)。

450-1000nm固定外腔半导体激光器

1060-1525nm固定外腔半导体激光器
在追求极致精度与稳定性的科学前沿,光源的性能往往决定整个研究的成败。上海频准激光科技股份有限公司推出的固定外腔半导体激光器(FECL),正以其超窄线宽、超低噪声和优异稳定性,成为众多高端科研应用的核心光源。
何为固定外腔半导体激光器?
固定外腔半导体激光器(FECL)通过独特的外腔结构设计,将半导体增益芯片与精密光学元件结合,实现了传统激光器难以企及的性能指标。与传统外腔半导体激光器相比,FECL具有不跳模、线宽窄的特性;与光纤分布反馈激光器相比,它又展现出超低强度噪声和超大调制带宽的优势。这种独特的技术路线,使FECL在原子物理、量子计算和精密测量等领域脱颖而出。
典型产品参数解析
频准激光FECL-短波系列产品具有以下典型参数:

频准激光FECL-1xxx-xx系列产品具有以下典型参数:

频准FECL的核心技术优势
频准激光采用光通讯级半导体激光封装技术,结合高调制带宽的驱动源,打造出了多项性能指标突出的FECL产品。无论是超窄线宽、超低噪声,还是在可见光波段的稳定输出,频准激光的FECL产品都为量子技术、精密测量、科研实验等领域的创新发展提供了可靠的光源支撑。
极致的光谱性能
频准FECL的线宽可小于5kHz(100μs积分时间),结果如图1-5所示远低于传统半导体激光器。这种超窄线宽特性意味着极长的相干长度,为干涉测量和量子干涉实验提供了基础。常规通信波长光谱信噪比高达>70dB,结果如图6所示;可见光光谱信噪比也达到>50dB,确保了输出激光的纯净度,有效避免多模干扰,结果如图7-11所示。

图1.采用延时自外差法,用20 km光纤延时,根据拍频信号20 dB宽度,测得780nm线宽约40.6kHz。

图2.采用延时自外差法,用20 km光纤延时,根据拍频信号20 dB宽度,测得852nm线宽约28.7kHz。

图3.采用延时自外差法,用20 km光纤延时,根据拍频信号20 dB宽度,测得1064.00 nm线宽约19.9 kHz。

图4.采用延时自外差法,用20 km光纤延时,根据拍频信号20 dB宽度,测得1187.05 nm线宽约10.8 kHz。

图5.采用延时自外差法,用20 km光纤延时,根据拍频信号20 dB宽度,测得1550.12nm线宽约2.6 kHz。

图6.1550.12nm输出光谱测试,光谱信噪比80.25 dB

图7.679nm输出光谱测试,光谱信噪比51.57 dB

图8.689nm输出光谱测试,光谱信噪比55.2 dB

图9.698nm输出光谱测试,光谱信噪比55.2 dB

图10.707nm输出光谱测试,光谱信噪比55 dB

图11.780nm输出光谱测试,光谱信噪比52 dB
出色的稳定性表现
频准FECL表现出优异的功率稳定性,RMS功率稳定性<0.5%(3小时),为长时间实验提供了可靠保障,如图12和图13所示。

图12.1397nm功率烤机2160小时RMS约为0.71%

图13.707nm功率烤机12小时RMS约为0.06%
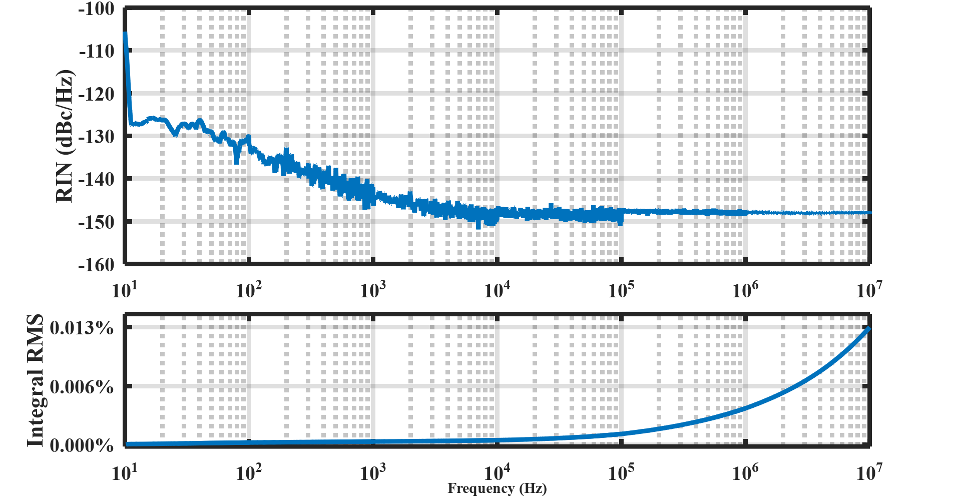
超低噪声特性
频准FECL在相对强度噪声指标上表现突出,达到<-145 dBc/Hz@10KHz,甚至在某些测试中达到-150 dBc/Hz@100 kHz。如图14-16所示。这种超低噪声特性使其在灵敏度要求极高的实验中成为不可替代的光源。

图14.1550.12nm激光器相对强度噪声<-145 dBc/Hz@10KHz,(10Hz-10MHz)RMS积分值约0.013%

图15.689nm激光器相对强度噪声<-145 dBc/Hz@10KHz,(10Hz-10MHz)RMS积分值约0.017%

图16.698nm激光器相对强度噪声<-149 dBc/Hz@10KHz,(10Hz-10MHz)RMS积分值约0.013%
光束质量:如丝般纯净均匀
这是FECL最引以为傲的特性之一。其输出光斑呈现完美的圆形高斯光斑,能量分布均匀,中心光斑明亮而锐利。在光路中对焦,可以形成一个极其细腻、几乎无杂质的光点。

图17.798nm激光光斑

图18.780nm M²
应用场景:从实验室到产业界
量子技术研究
在冷原子物理和量子计算领域,频准FECL为原子捕获、量子态操控提供了精准光源。
精密测量与传感
在分布式光纤传感领域,FECL的波长稳定性和低噪声特性使其能够检测微弱振动和温度变化。这对于油气管道监测、地震预警等应用具有重要意义。
相干光通信
FECL的大调制带宽和低相位噪声特性,使其在相干光学通信领域表现出色,能够提升通信系统的容量和传输距离。
为何选择频准FECL?
频准激光不仅提供高性能产品,更注重用户体验:
紧凑型设计:小巧的封装尺寸(133×83×25mm)节省宝贵实验空间
低功耗:<12W的功耗,降低运行成本
灵活定制:支持波长和参数定制,满足特殊需求
全面技术支持:为科研用户提供专业的技术支持和服务
从实验室研究到产业化应用,频准激光致力于为科研工作者提供最可靠的光源解决方案,帮助科学家们探索未知,拓展人类认知的边界。
关于频准
上海频准激光科技股份有限公司成立于2017年,是国家高新技术企业和国家级专精特新小巨人企业。于上海市嘉定区徐行镇张江科技示范园,现有员工四百多人,其中博士十余名,高级工程师多名。频准激光致力于高端单频光纤激光器的研发与生产,为国家重大项目提供了国际一流的激光技术和产品。
官方电话丨021-59160265
官方邮箱丨info@precilasers.com
官方网站丨https://precilasers.com